宁波材料所在sp2碳共轭有机框架聚合物新材料设计制备方面取得重要进展
二维共价有机框架(2D COFs)聚合物作为新一代有机半导体材料,具有可调的光电性质、开放的纳米孔道和丰富的活性位点,在光电催化、能源转换和有机电子等领域展现出广阔的应用前景。特别是碳碳双键连接的共价有机框架聚合物(sp2c-COFs)凭借其拓展的 共轭、优异的稳定性和高载流子迁移率等特性,成为COFs领域研究前沿方向。然而,有限的成键化学、较高的反应势垒和较差的可逆性导致sp2c-COFs合成困难并限制了其应用和发展。
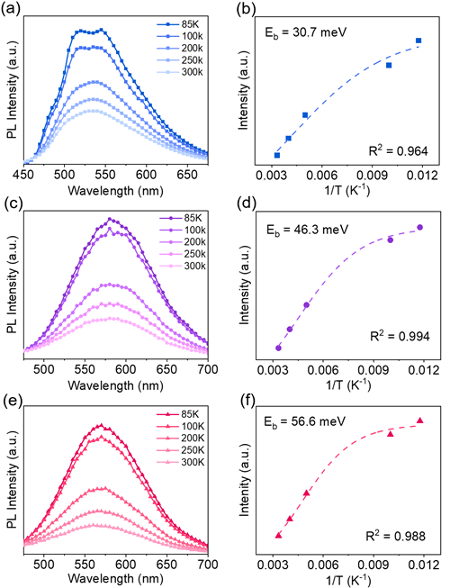
针对上述问题,中国科学院宁波材料技术与工程研究所界面功能高分子材料团队在张涛研究员的带领下,对sp2c-COFs材料的化学构筑策略、界面合成方法和前沿应用进行了深入研究(J. Am. Chem. Soc. 2022, 144, 13953;J. Am. Chem. Soc. 2023, 145, 5203;ACS Catal. 2023, 13, 1089;Chem. Mater. 2023, 35, 1594)。近日,该团队提出了一种噻二唑介导的羟醛缩聚反应用于构建噻二唑桥联的sp2c-COF(sp2c-COF-ST)(图1)。得益于全共轭的骨架和缺电的噻二唑内核,所合成的sp2c-COF-ST表现出优异的稳定性和光电化学性能(图2和图3)。例如,sp2c-COF-ST在强酸和强碱(12 M HCl和12 M NaOH)中浸泡24小时后仍可保留其有序结构(图2)。在可见光的辐照下,sp2c-COF-ST在0.3 V(vs RHE)的偏压下,表现出高达~14.5 A cm-2的光电流密度,远优于结构相似的亚胺键连接COF(imi-COF-SNNT ~ 4.9 A cm-2)和亚胺键及碳碳双键混合连接COF(mix-COF-SNT~9.5 A cm-2)(图3)。在进一步的光致发光测试和密度泛函计算中发现(图4),与mix-COF-SNT和imi-COF-SNNT相比,sp2c-COF-ST具有更小的激子结合能和有效质量,这表明sp2碳共轭的骨架促进了激子解离和载流子迁移,进而增强了光电化学性能。该工作通过噻二唑介导的羟醛缩聚反应拓展了sp2c-COFs体系,并为光电催化提供了富有潜力的有机半导体骨架材料。
相关成果以“Construction of Thiadiazole-bridged Sp2-carbon-conjugated Covalent Organic Frameworks with Diminished Excitation Binding Energy towards Superior Photocatalysis”为题发表在Journal of the American Chemical Society期刊上(https://doi.org/10.1021/jacs.3c08755)。宁波材料所研究生付广恩、福州大学研究生杨登辉为该论文的共同第一作者,福州大学兰志安副研究员、王心晨教授和宁波材料所张涛研究员为该论文的共同通讯作者。该研究得到了国家优秀青年基金(52322316)、浙江省杰出青年自然科学基金(LR21E030001)、浙江省领军型创新创业团队基金(2021R01005)、宁波市重点研发计划(2022ZDYF020023)等项目的支持。

图1 sp2c-COF的设计与合成策略

图2 sp2c-COF的结构与稳定性表征

图3 sp2c-COF的光电化学和光催化性能表征

图4 sp2c-COF的激子结合能表征
(海洋实验室 付广恩)