宁波材料所在低工作电压氧化物薄膜晶体管方面取得进展
氧化物薄膜晶体管(Thin-film transistors,TFTs)是一类重要的半导体器件,在透明、柔性电子学器件及便携式电子学器件应用等领域有着广泛的应用价值。传统氧化物TFTs通常采用顶栅结构或底栅结构,栅电极对沟道导电性的静电调控通过垂直耦合的方式实现。与此同时,器件通常采用SiO2或高介电常数氧化物作为栅介质,受栅介质介电常数的限制,薄膜晶体管的工作电压通常高于5V。近年来,人们提出了一类采用离子液电解质作为栅介质的晶体管,在外电场的作用下,离子液电解质中的离子将在离子液/电极界面上聚集,形成界面双电层,由于极强的界面双电层效应,这类晶体管的工作电压通常<2V。
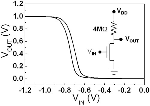
近期,宁波材料所科研人员结合全固态离子液电解质独特的离子/电子界面双电层耦合特性,制作了具有侧向耦合结构的氧化物薄膜晶体管,栅电极对沟道导电特性的调控通过侧向耦合的方式实现。测试表明,侧向耦合的双电层电容高达~2μF/cm2。对晶体管性能进行测试,发现器件在1.5V工作电压下的开关比高达106以上,电子迁移率高达24cm2/Vs,亚阈值斜率仅为~90mV/dec。将器件与适当阻值的电阻相连,获得了电阻负载型反相器,在Vdd=1V时的反相器电压增益高达~8。与此同时,分析了器件的瞬态响应特性,获得了质子弛豫的特征时间常数。这种晶体管在低功耗、便携式器件领域有着潜在应用价值。相关成果发表于ACS Applied Materials & Interface(2015), Applied Physics Letters105(2014)243508等杂志上。
上述研究工作了获得了973课题(2012CB933004)、国家自然科学基金(11474293)、浙江省自然科学基金(LY14A040009)及宁波市自然科学基金(2014A610145)等项目的资助。

侧向耦合氧化物薄膜结构示意图

电阻负载型反相器结构及测试结果
(新能源所 竺立强)