宁波材料所在Gd基非晶磁致冷材料研究方面取得进展
作为磁致冷技术的关键部分,性能优良的磁致冷材料是整个系统的核心部分。磁致冷材料的重要性能之一是具有高的绝热温变,其替代性能是高的磁熵变,这也是研究者比较关心的性能。然而作用实际应用,磁致冷材料的制冷效率RCP,即降低一度所需消耗的能量是衡量其性能的另一个重要指标,通常由磁熵变峰值与其半高宽温区的乘积来衡量。对于典型的晶体磁致冷材料,如MnFeP0.45As0.55,Gd5(Ge1_xSix),Ni–Mn–Ga,La(Fe1_xSix)13及其氢化物等体系,由于是一级相变,在居里温度附近具有高的磁熵变,但正由于是一级相变使得相转变温区较窄,制冷效率较低。而对于二级相变,其磁熵变值没有一级相变高,但相变温区较宽,制冷效率RCP较高。相对晶体材料,非晶磁致冷材料通常具有二级磁转变,并且由于非晶的无序结构使得磁转变具有较宽的温区,从而在磁制冷效率上是一大优势,因而被认为具有应用前景的磁致冷材料。
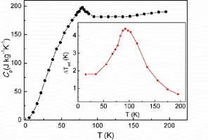
中科院宁波材料技术与工程研究所沈宝龙研究员和杜娟研究员在块体非晶的形成能力和磁热效应方面开展了研究工作。其中早期的研究工作表明,在具有大的磁晶各向异性的Tb基块体非晶中发现了自旋玻璃行为,并且在自旋玻璃转变温度以上获得了大的磁熵变[J. Magn. Magn. Mater. 321 (5), 413];而各向异性较小的一定成分的Gd基非晶一般具有铁磁性,并且在居里温度附近同时具有大的磁熵变值和高的制冷效率RCP[J. Appl. Phys. 103 (2), 023918]。在近期的研究中,对Gd55NixAl45-x(x=30,25,20,15)非晶的Ni、Al成分配比对其磁性的影响的研究表明,随Ni/Al比值的降低,体系从铁磁性行为逐渐转变为自旋玻璃行为。此外我们在铁磁性自旋玻璃温度附近也获得优异的磁制冷性能:在5T磁场下,磁熵变为ΔSmMax 9.25 J kg-1K-1,绝热温变为4.3K,冷冻效率RCP为851 J kg-1。该工作发表在近期的Appl.Phys.Lett.101, 032405 (2012)。该工作为深入研究自旋玻璃的起源,特别是在所含元素都具有较小的磁晶各向异性或不具有磁晶各向异性的非晶体系中出现的自旋玻璃行为的研究提供了一个极好的样本,同时也为研究非晶合金磁致冷性能及其在低温区的应用起到了良好的推动作用。
该研究工作获得国家杰出青年基金和浙江省杰出青年基金等项目的资助。

GdNiAl非晶随Ni/Al变化的DSC曲线及XRD GdNiAl非晶的热磁曲线及交流磁化率随频率的变化曲线

GdNiAl非晶的磁熵变随温度变化曲线 Gd55N30iAl15非晶的比热曲线及其绝热温变
(磁材事业部)